



と同型で、位数は6!=720です。n次の対称群の共役類を指定するには、その元を1項、2項、…、n項巡回置換の積に分解したとき、これらが含まれる個数k1、k2、…、knにより(k1,k2,…,kn)で指定され、共役類の数はnの分割数となります。6次の対称群の場合は、6の分割の数は11で、共役類は、| (i) | (6,0,0,0,0,0) |
| (ii) | (4,1,0,0,0,0) |
| (iii) | (2,2,0,0,0,0) |
| (iv) | (0,3,0,0,0,0) |
| (v) | (3,0,1,0,0,0) |
| (vi) | (1,1,1,0,0,0) |
| (vii) | (0,0,2,0,0,0) |
| (viii) | (2,0,0,1,0,0) |
| (ix) | (0,1,0,1,0,0) |
| (x) | (1,0,0,0,1,0) |
| (xi) | (0,0,0,0,0,1) |

| Class | C1 | C2 | C3 | C4 | C5 | C6 | C7 | C8 | C9 | C10 | C11 | C12 | C13 | C14 | C15 | C16 | C17 | C18 | C19 | C20 | C21 | C22 |
|---|---|---|---|---|---|---|---|---|---|---|---|---|---|---|---|---|---|---|---|---|---|---|
| Size | 1 | 1 | 15 | 15 | 15 | 15 | 45 | 45 | 40 | 40 | 90 | 90 | 90 | 90 | 144 | 40 | 40 | 120 | 120 | 120 | 120 | 144 |
| X1 | 1 | 1 | 1 | 1 | 1 | 1 | 1 | 1 | 1 | 1 | 1 | 1 | 1 | 1 | 1 | 1 | 1 | 1 | 1 | 1 | 1 | 1 |
| X2 | 1 | -1 | -1 | 1 | -1 | 1 | 1 | -1 | 1 | 1 | 1 | -1 | -1 | 1 | 1 | -1 | -1 | -1 | 1 | -1 | 1 | -1 |
| X3 | 1 | 1 | -1 | -1 | -1 | -1 | 1 | 1 | 1 | 1 | 1 | 1 | -1 | -1 | 1 | 1 | 1 | -1 | -1 | -1 | -1 | 1 |
| X4 | 1 | -1 | 1 | -1 | 1 | -1 | 1 | -1 | 1 | 1 | 1 | -1 | 1 | -1 | 1 | -1 | -1 | 1 | -1 | 1 | -1 | -1 |
| X5 | 5 | -5 | -3 | 3 | 1 | -1 | 1 | -1 | 2 | -1 | -1 | 1 | -1 | 1 | 0 | -2 | 1 | 0 | 0 | 1 | -1 | 0 |
| X6 | 5 | 5 | 3 | 3 | -1 | -1 | 1 | 1 | 2 | -1 | -1 | -1 | 1 | 1 | 0 | 2 | -1 | 0 | 0 | -1 | -1 | 0 |
| X7 | 5 | -5 | 3 | -3 | -1 | 1 | 1 | -1 | 2 | -1 | -1 | 1 | 1 | -1 | 0 | -2 | 1 | 0 | 0 | -1 | 1 | 0 |
| X8 | 5 | 5 | -3 | -3 | 1 | 1 | 1 | 1 | 2 | -1 | -1 | -1 | -1 | -1 | 0 | 2 | -1 | 0 | 0 | 1 | 1 | 0 |
| X9 | 5 | -5 | 1 | -1 | -3 | 3 | 1 | -1 | -1 | 2 | -1 | 1 | -1 | 1 | 0 | 1 | -2 | 1 | -1 | 0 | 0 | 0 |
| X10 | 5 | 5 | -1 | -1 | 3 | 3 | 1 | 1 | -1 | 2 | -1 | -1 | 1 | 1 | 0 | -1 | 2 | -1 | -1 | 0 | 0 | 0 |
| X11 | 5 | -5 | -1 | 1 | 3 | -3 | 1 | -1 | -1 | 2 | -1 | 1 | 1 | -1 | 0 | 1 | -2 | -1 | 1 | 0 | 0 | 0 |
| X12 | 5 | 5 | 1 | 1 | -3 | -3 | 1 | 1 | -1 | 2 | -1 | -1 | -1 | -1 | 0 | -1 | 2 | 1 | 1 | 0 | 0 | 0 |
| X13 | 9 | -9 | -3 | 3 | -3 | 3 | 1 | -1 | 0 | 0 | 1 | -1 | 1 | -1 | -1 | 0 | 0 | 0 | 0 | 0 | 0 | 1 |
| X14 | 9 | 9 | 3 | 3 | 3 | 3 | 1 | 1 | 0 | 0 | 1 | 1 | -1 | -1 | -1 | 0 | 0 | 0 | 0 | 0 | 0 | -1 |
| X15 | 9 | 9 | -3 | -3 | -3 | -3 | 1 | 1 | 0 | 0 | 1 | 1 | 1 | 1 | -1 | 0 | 0 | 0 | 0 | 0 | 0 | -1 |
| X16 | 9 | -9 | 3 | -3 | 3 | -3 | 1 | -1 | 0 | 0 | 1 | -1 | -1 | 1 | -1 | 0 | 0 | 0 | 0 | 0 | 0 | 1 |
| X17 | 10 | 10 | -2 | -2 | 2 | 2 | -2 | -2 | 1 | 1 | 0 | 0 | 0 | 0 | 0 | 1 | 1 | 1 | 1 | -1 | -1 | 0 |
| X18 | 10 | -10 | -2 | 2 | 2 | -2 | -2 | 2 | 1 | 1 | 0 | 0 | 0 | 0 | 0 | -1 | -1 | 1 | -1 | -1 | 1 | 0 |
| X19 | 10 | 10 | 2 | 2 | -2 | -2 | -2 | -2 | 1 | 1 | 0 | 0 | 0 | 0 | 0 | 1 | 1 | -1 | -1 | 1 | 1 | 0 |
| X20 | 10 | -10 | 2 | -2 | -2 | 2 | -2 | 2 | 1 | 1 | 0 | 0 | 0 | 0 | 0 | -1 | -1 | -1 | 1 | 1 | -1 | 0 |
| X21 | 16 | -16 | 0 | 0 | 0 | 0 | 0 | 0 | -2 | -2 | 0 | 0 | 0 | 0 | 1 | 2 | 2 | 0 | 0 | 0 | 0 | -1 |
| X22 | 16 | 16 | 0 | 0 | 0 | 0 | 0 | 0 | -2 | -2 | 0 | 0 | 0 | 0 | 1 | -2 | -2 | 0 | 0 | 0 | 0 | 1 |
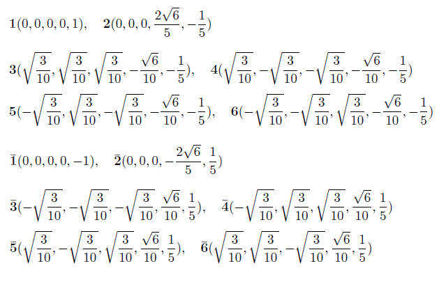
| 共役類 | 代表元 | |
|---|---|---|
| C1 | E | |
| C2 | I | (1 1)(2 2)(3 3)(4 4)(5 5)(6 6) |
| C3 | (0,3,0,0,0,0) | (1 2)(3 4)(5 6)(1 2)(3 4)(5 6) |
| C4 | I(0,3,0,0,0,0) | (1 2)(1 2)(3 4)(4 3)(5 6)(6 5) |
| C5 | (4,1,0,0,0,0) | (1 2)(1 2) |
| C6 | I(4,1,0,0,0,0) | (1 2)(1 2)(3 3)(4 4)(5 5)(6 6) |
| C7 | (2,2,0,0,0,0) | (3 4)(5 6)(3 4)(5 6) |
| C8 | I(2,2,0,0,0,0) | (1 1)(2 2)(3 4)(4 3)(5 6)(6 5) |
| C9 | (0,0,2,0,0,0) | (1 2 3)(4 5 6)(1 2 3)(4 5 6) |
| C10 | (3,0,1,0,0,0) | (4 5 6)(4 5 6) |
| C11 | (0,1,0,1,0,0) | (1 2)(3 4 5 6)(1 2)(3 4 5 6) |
| C12 | I(0,1,0,1,0,0) | (1 2)(1 2)(3 4 5 6)(3 4 5 6) |
| C13 | (2,0,0,1,0,0) | (3 4 5 6)(3 4 5 6) |
| C14 | I(2,0,0,1,0,0) | (1 1)(2 2)(3 4 5 6)(3 4 5 6) |
| C15 | (1,0,0,0,1,0) | (2 3 4 5 6)(2 3 4 5 6) |
| C16 | I(0,0,2,0,0,0) | (1 2 3 1 2 3)(4 5 6 4 5 6) |
| C17 | I(3,0,1,0,0,0) | (1 1)(2 2)(3 3)(4 5 6 4 5 6) |
| C18 | (0,0,0,0,0,1) | (1 2 3 4 5 6)(1 2 3 4 5 6) |
| C19 | I(0,0,0,0,0,1) | (1 2 3 4 5 6)(1 2 3 4 5 6) |
| C20 | (1,1,1,0,0,0) | (1 2)(4 5 6)(1 2)(4 5 6) |
| C21 | I(1,1,1,0,0,0) | (1 2)(1 2)(3 3)(4 5 6 4 5 6) |
| C22 | I(1,0,0,0,1,0) | (1 1)(2 3 4 5 6 2 3 4 5 6) |










| C1 | C2 | C3 | C4 | C5 | C6 | C7 | C8 | C9 | C10 | C11 | C12 | C13 | C14 | C15 | C16 | C17 | C18 | C19 | C20 | C21 | C22 |
|---|---|---|---|---|---|---|---|---|---|---|---|---|---|---|---|---|---|---|---|---|---|
| 5 | -5 | -1 | 1 | 3 | -3 | 1 | -1 | -1 | 2 | -1 | 1 | 1 | -1 | 0 | 1 | -2 | -1 | 1 | 0 | 0 | 0 |

| Class | C1 | C2 | C3 | C4 | C5 | C6 | C7 | C8 | C9 | C10 | C11 | C12 | C13 | C14 | C15 | C16 | C17 | C18 | C19 | C20 | C21 | C22 |
|---|---|---|---|---|---|---|---|---|---|---|---|---|---|---|---|---|---|---|---|---|---|---|
| Γ | 15 | 15 | 3 | 3 | 7 | 7 | 3 | 3 | 0 | 3 | 1 | 1 | 1 | 1 | 0 | 0 | 3 | 0 | 0 | 1 | 1 | 0 |















| Class | C1 | C2 | C3 | C4 | C5 | C6 | C7 | C8 | C9 | C10 | C11 | C12 | C13 | C14 | C15 | C16 | C17 | C18 | C19 | C20 | C21 | C22 |
|---|---|---|---|---|---|---|---|---|---|---|---|---|---|---|---|---|---|---|---|---|---|---|
| Δ | 14 | 14 | 2 | 2 | 6 | 6 | 2 | 2 | -1 | 2 | 0 | 0 | 0 | 0 | -1 | -1 | 2 | -1 | -1 | 0 | 0 | -1 |
| Class | C1 | C2 | C3 | C4 | C5 | C6 | C7 | C8 | C9 | C10 | C11 | C12 | C13 | C14 | C15 | C16 | C17 | C18 | C19 | C20 | C21 | C22 |
|---|---|---|---|---|---|---|---|---|---|---|---|---|---|---|---|---|---|---|---|---|---|---|
| Γ | 15 | 15 | 3 | 3 | 7 | 7 | 3 | 3 | 0 | 3 | 1 | 1 | 1 | 1 | 0 | 0 | 3 | 0 | 0 | 1 | 1 | 0 |
| Δ | 14 | 14 | 2 | 2 | 6 | 6 | 2 | 2 | -1 | 2 | 0 | 0 | 0 | 0 | -1 | -1 | 2 | -1 | -1 | 0 | 0 | -1 |
| X1 | 1 | 1 | 1 | 1 | 1 | 1 | 1 | 1 | 1 | 1 | 1 | 1 | 1 | 1 | 1 | 1 | 1 | 1 | 1 | 1 | 1 | 1 |
| X10 | 5 | 5 | -1 | -1 | 3 | 3 | 1 | 1 | -1 | 2 | -1 | -1 | 1 | 1 | 0 | -1 | 2 | -1 | -1 | 0 | 0 | 0 |
| X14 | 9 | 9 | 3 | 3 | 3 | 3 | 1 | 1 | 0 | 0 | 1 | 1 | -1 | -1 | -1 | 0 | 0 | 0 | 0 | 0 | 0 | -1 |
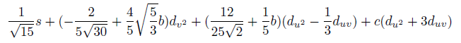
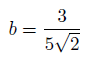
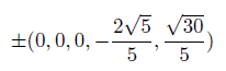
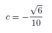
Γ=X1+Δ=X1+X10+X14と簡約されることが予想されます。






Γ=X1+Δ=X1+X10+X14となります。






















