(2+2)極座標系では、
.png)
と表現されますが、線素dsは、
.png)
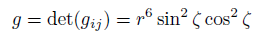
となるので、計量テンソルgijは、
.png)
が、得られます。
ラプラシアンΔ4は、

で、gijは、gijの逆行列、gはgijの行列式です。
.png)
の場合は、
.png)
.png)
.png)
なので、
.png)
となります。
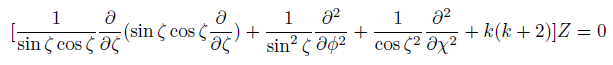
ラプラシアンΔ4の各項は1/r2の次元を共通に持っているので、これをrkZ(ζ,φ,χ)の形の関数に演算すれば、rに依存する部分は共通の因子rk-2となります。ラプラス方程式の場合、Δ4ψ=0を満たすので、共通因子rk-2を落とすことができて、

D-angular.png)
となります。
さらに、Z(ζ,φ,χ)=f(ζ)e±iφe±iχとすると、

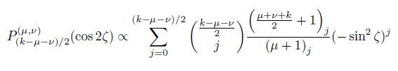
となり、t=cos2ζとおくと、

が得られ、その解は、Jacobiの多項式Pn(α,β)を用いて、
D.png)
D.png)
と表すことができます。この関数は、Wignerのd関数ともいいます。

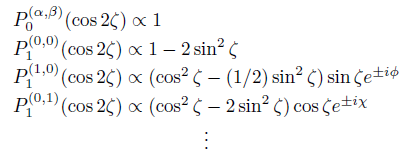
Jacobiの多項式P(k-μ-ν)/2(μ,ν)は、比例定数を除くと、具体的には、
D.png)
で、低次のものは、
D-lower.png)
となります。
以上より、Z(ζ,φ,χ)の低次のものは次の表のように与えられます。μ+ν≧0、μ+ν=k,k-2,k-4,・・・で、μ≠0,ν≠0のときは複号±をとるので、
k=0のときは1個、
k=1のときは2+2=4個、
k=2のときは(2+4+2)+1=9個、
k=3のときは(2+4+4+2)+(2+2)=16個、
で、一般に
k=2nのときは
1+(2+4+2)+(2+4+4+4+2)+・・・+(2+4+・・・+4+2)
=1+8+16+・・・+8n=4n(n+1)+1=(2n+1)2=(k+1)2
k=2n+1のときは
(2+2)+(2+4+4+2)+・・・+(2+4+・・・+4+2)
=4+12+20+・・・+4(2n+1)=4(n+1)2=(k+1)2
で、同一のkに対して、(3+1)極座標のときと同じく(k+1)2種類の超球面調和関数が対応します。
D-hyperspherical-harmonic-table.png)
x,y,z,uについての同次多項式は、一見すると、(3+1)極座標のときと異なっているように見えますが、zとuについては実部と虚部に分けて考えると、1次の場合はz±uiのかわりにzとuが独立な多項式となり、2次の場合は、(z±ui)2=(z2−u2)±2zuiより、
(z2+u2−x2−y2)+(z2−u2)=2z2−x2−y2
(z2+u2−x2−y2)−2(z2−u2)=3u2−x2−y2−z2
と、(3+1)極座標のときと同じ組み合わせの多項式を与えます。
3次の場合についても、(z±ui)3=(z2−3u2)z±(3z2−u2)uiより、
(2(z2+u2)−(x2+y2))(x±yi)+2(z2−u2)(x±yi)=(4z2−x2−y2)(x±yi)
(2(z2+u2)−(x2+y2))(x±yi)−3(z2−u2)(x±yi)=(5u2−x2−y2−z2)(x±yi)
(1/2)(z2−3u2)z+(3/2)((z2+u2)−2(x2+y2))z=(2z2−3x2−3y2)z
(-3/2)(z2−3u2)z+(1/2)((z2+u2)−2(x2+y2))z=(5u2−x2−y2−z2)z
(1/2)(3z2−u2)u+(1/2)((z2+u2)−2(x2+y2))u=(2z2−x2−y2)u
(-1/2)(3z2−u2)u+(1/2)((z2+u2)−2(x2+y2))u=(u2−x2−y2−z2)u
と、(3+1)極座標のときと同じ組み合わせの多項式を与えます。