n次元空間での電荷と電場の関係を表わすガウスの法則は、微分形式では、

積分形式では、

と表される。ρnはn次元電荷密度で、Snはn次元単位球の表面積で、n次元単位球の表面積と体積は、例えばn=3,4,5では以下のように表される。

そして、一般に、

である。
一様に帯電した、半径R 、総電荷Qのn次元球のn次元電荷密度ρnは、

である。
一様に帯電したn次元球によるポテンシャルは球対称で、電場は動径rのみに依存する中心力型となる。球対称なポテンシャルの場合の電場は、


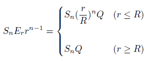
で表されるので、一様に帯電したn次元球による電場は、ガウスの法則の積分形式での積分領域を半径rのn次元球とその表面とすると、

であり、電場Erとポテンシャルφは、


である。r=Rでのポテンシャルを1として、3次元、4次元、5次元の場合をプロットすると下のようになる。

上記の電場Erとポテンシャルφから、

であるので、r≦Rで

であり、r≧Rで

であり、また、

であるので、非相対論的近似のハミルトニアンは

となる。σij、Lijはn次元空間でのスピン演算子、軌道角運動量演算子である。
基底状態付近の準位の間隔ħωは、Q=Zeとして

であり、r=Rでのポテンシャルエネルギーは、

であるので、r=Rまでの準位の数は

となる。ただし、eは下記のn次元空間でのcgs静電単位での電気素量である。
